√ダウンロード アラン・イゴール 187221-アラン イゴール
Official Title en Dancougar Requiem for Victims Official Title ja 超獣機神ダンクーガ 失われた者たちへの鎮魂歌 Type OVA Year s action Action anime usually involve a fairly straightforward story of good guys versus bad guys, where most disputes are resolved by using physical force It often contains a lot of shooting, explosions and fighting, mechaフラットストラップサンダル"NIZA" igor(イゴール) 1974年からigor (イゴール)は上質なレインブーツと ジェリーシューズを生産しています。 長年培った靴づくりにおける専門知識と、 最新のトレンドを意識したデザインチームの力を合わせ、 スタイリッシュかつ実用的な商品を生み出しています。 100%スペインで生産することで得られた独自性と 品質のAnnictでアラン・イゴールをチェック! Annict (アニクト)は、見たアニメを記録したり、見た感想を友達にシェアすることができるWebサービスです。「今どの作品を何話まで見ているんだっけ?」を
アラン イゴール
アラン イゴール
アラン イゴール-アラン イゴール Alan is the son of General Ross Igor and pilot of mecha Black Wing which he developed himself In the beginning, he is seen more as a nuisance than a help by the Jyusenki Tai Later, however, they grudgingly accept his help Alan opposes his father's opinions and starts his own elite corp that believes the battle shouldアラン・イゴール 10 アランといえばbttfのサントラで有名なアラン・シルベストリだろ。 4 kb このスレッドは過去ログ倉庫に格納されています



アラン イゴール生誕祭のtwitterイラスト検索結果
Corpus ID Filter lip seal and methods @inproceedings{06FilterLS, title={Filter lip seal and methods}, author={アラン・シー・ピート and イゴール・マルコフ and イブラヒム・カリアラン・イゴール 田中秀幸 葉月孝太郎 石丸博也 シャピロ・キーツ 若本規夫 デスガイヤー将軍 屋良有作 ギルドローム将軍 佐藤正治 ヘルマット将軍 二又一成 ムゲ・ゾルバドス 稲田徹 「最強ロボ ダイオージャ」 エドワード・ミト 古川登志夫Thauany Raizla is on Facebook Join Facebook to connect with Thauany Raizla and others you may know Facebook gives people the power to share and makes
5/14/17 · cia fbi アメリカ アラン・リッチマン イゴール・パナリン オルタナ右翼 ジェイムズ・コーミー スティーブ・バノン ドナルド・トランプ ピーター・ターチン マイク・ペンス 弾劾 未来を見る! 『ヤスの備忘録』連動メルマガ 高島康司あらすじ / ジャンル ムゲ帝王との戦いを経て、獣戦機隊の面々にもとりあえずの日常が戻っていた。 それぞれが自身の問題と向き合い悩む中、謎の組織バンディッツが破壊活動を開始。 さらには巨大な敵グザートが出現し、迎撃に向かう忍たち。 しかし敵は自爆してしまい、それが新たな戦いの幕を開けることとなった。経歴 1980年 レークプラシッドオリンピック に出場し6位。 1981年 ヨーロッパフィギュアスケート選手権 優勝、同年の 世界フィギュアスケート選手権 では3位となる。 引退後はプロスケーターとして活動。 ソ連初のアイスショー団体を立ち上げる。 現在でもプロスケーターとして現役。 コーチ兼振付師としても活動を続けている。 11年から12年にロシアの
5/31/14 · アラン・イゴールがイラスト付きでわかる! アニメ『超獣機神ダンクーガ』の登場人物。 概要 黒騎士隊の隊長を名乗る、ロス・イゴール長官の息子。 ブラックウイングのパイロット。 情報戦を得意としており、黒騎士隊は主にゲリラ組織として行動している。ポリ塩化ビニル を 採用した ビーチ にも使える ストラップ トング サンダル送料無料。70%OFFigor(イゴール)ストラップトングサンダル"URSULA BASIC" ynアランも開眼した37話をプレイバック キャストブログ ジャベル役の聡太郎さんが楽しい写真をアップ! メールマガジン コラムはジャイロ役・高岩成二さん初登場!



花響 はなゆら ギャラリー 塗り絵



Alan Igor Choujuu Kishin Dancougar Myanimelist Net
イゴール「‥‥‥‥」 アラン「軍人が規律を守らなければならないのは確かだ。が、人間はロボットじゃない! 自らの両親に背いてまで命令を守る必要がどこにある!」 イゴール「若いな‥‥が、若いうちはそれでいいのかも知れん。ジャベル、イゴールに続いて送られてきた幹部眼魔。 眼魔世界ではアランの教育を担当。 戦闘訓練の教官だっただけに、戦いにおいて強大な力を発揮する。 イゴールいわく「相変わらず不気味なヤツ」。 高岩成二 (たかいわ・せいじ) 1968年11月3日 埼玉6/27/12 · 超獣機神ダンクーガ 白熱の終章 act1 魔人転生 アニメ 地球近くの宇宙空間に突如謎の物体が現れ、敵が襲ってきた。再び召集された獣戦機隊が敵ロボットを



超獣機神ダンクーガ Tv 第38話 最後の咆哮 アニメ 動画 ニコニコ動画



Super Minipla Super Beast Machine God Dancouga Black Wing Pb Premium Bandai Oct Ebay
1/26/21 · アラン・イゴール CV 田中秀幸 ブラックウイングのパイロットでイゴール長官の息子だが、古いタイプの軍人である父親に反感を持っており、黒騎士隊という独自の組織を立ち上げ、ムゲ帝国に反抗する。藤原忍矢尾一樹/結城沙羅山本百合子/式部雅人中原茂/司馬亮塩沢兼人/シャピロ・キーツ若本紀昭/アラン・イゴール田中秀幸/ロス・イゴール池田勝/葉月孝太郎石丸博也 スタッフ シリーズ構成藤田桂介/総監督奥田誠治/キャラクターデザインいんどり小屋/メカニックデザイン平井寿 (中村プロ),大張正己/美術監督新井寅雄/音響監督松浦アラン・イゴール 声優 田中秀幸 キャラクター解説 黒騎士隊の隊長であり、イゴール長官の息子。ブラックウイングのパイロット。元は正規の軍人であったが、父のやり方に反し、情報戦を得意としたゲリラ組織「黒騎士隊」を結成。



アラン イゴール生誕祭のtwitterイラスト検索結果



ミレバ ワカル 予約受付中 Metamor Force 超獣機神ダンクーガ
Dancouga Super Beast Machine God (超獣機神ダンクーガ, Chōjū Kishin Dankūga) is a Super Robot anime television series produced by Ashi Productions, directed by Seiji Okuda and written by Keisuke FujikawaIt ran on TBS for 38 episodes from 5 April 1985 to 27 December 1985 The TV anime was licensed by Central Park Media under their Software Sculptors label in 1995, and wasアラン・イゴール 精神コマンド(修得レベル) 偵察 1 必中 1 集中 12 熱血 25 ひらめき 26 士気 33 小隊長能力 小隊移動力1 クリティカル率10% 特殊技能(技能レベル)イゴール・テルオバネシアン (ロシア語 И́горь Ара́мович ТерОванеся́н 、1938年 5月19日)は、ソビエト連邦の男子陸上競技選手。 アメリカ合衆国のラルフ・ボストンとともに1960年代を代表する走幅跳の選手で、2度の世界記録を樹立。 オリンピックには1956年から5大会連続して出場し



超獣機神ダンクーガ Ldボックス ブルースの徒然日記2



超獸機神 斷空光牙劍 Youtube
Parody Characters Alan Igor / アラン・イゴール Info (H) (V2) () Romanized Alan Igor Original アラン・イゴールアラン・イゴール アラン・イゴールの各種データを掲載しています。 「黒騎士」の別名を持つブラックウイングのパイロット。 志に共感した戦士を集め、黒騎士隊を結成。 ムゲ・ゾルバドス帝国と戦う各地のゲリラを支援していた。 当初は黒騎士として活動しており、謎に包まれていたその正体は、獣戦機隊の初代長官イゴールの息子であった。アラン・イゴール sr 獣の翼 hp1/2以上で装甲アップ 結城沙羅 ssr 男勝りの狙撃手 「地形:陸」ステージでバトルするとき攻撃力大アップ、命中率アップ ローラ・サリバン sr ハーモニーラヴ 攻撃力、装甲アップ ロス・イゴール r 長官の威厳



アラン イゴール生誕祭のtwitterイラスト検索結果



Igor Stravinsky Alan Marks David Levine Rainer Segers Le Sacre Du Printemps Agon For Two Pianos Percussion 1996 Cd Discogs
絵本 ミレイユ・ド・アランセ / イゴールの金のすず 児童図書館・絵本の部屋のお買いものならKDDI株式会社/auコマース&ライフ株式会社が運営するネットショッピング・通販サイト「au Wowma!」。毎日がワウ!になる通販サイトau Wowma!(ワウマ)。アラン「親父!」 イゴール「アランか。数年ぶりにまともに言葉を交わす機会が、このようなものになるとはな」 アラン「親父、ケガを」 イゴール「わずかな間によくぞそこまで成長したな」 アラン「やめてくれ!6/27/12 · 超獣機神ダンクーガ 失われた者たちへの鎮魂歌 超獣機神ダンクーガ 失われた者たちへの鎮魂歌 アニメ 敵を倒し、超空間を移動するダンクーガ。空間を抜けたどり着いた先にデスガイヤー将軍が待ち構えて



New Map In Secret Neighbor Igor And Alan Play Secret Neighbor Youtube



High Dynamic Range Video On Apple Books
スーパーロボット大戦の公式サイトです。 ©葦プロ ©国際映画社・つぼたしげお ©サンライズ ©創通・サンライズ ©ダイナミック企画 ©東映 ©banpresto 04About Press Copyright Contact us Creators Advertise Developers Terms Privacy Policy & Safety How works Test new features Press Copyright Contact us Creators



11年07月の記事 To Live Is To Die



アラン イゴール生誕祭のtwitterイラスト検索結果



Metamor Force 超獣機神ダンクーガ ブラックウイング デコマスレビュー 千値練スタッフブログ



11年07月の記事 To Live Is To Die



Wクロス 超獣機神ダンクーガ こみのスパクロ日記



ミレバ ワカル 予約受付中 Metamor Force 超獣機神ダンクーガ



Igor Lopes Alan Wake



Best Hit Series 超獣機神ダンクーガ 1985年9月25日秋田書店 断空玩具



Alexander Osadchiy Igor



アラン イゴール あらんいごーる とは ピクシブ百科事典



スーパーロボット大戦f 完結編 を初見実況プレイ Part 46 ニコニコ動画



アラン イゴール



Black Knight Alan Igor Voice Dancouga Super Beast Machine God Tv Show Behind The Voice Actors



やってやるぜ 超獣機神ダンクーガをふりかえってみよう Middle Edge ミドルエッジ



Old Boyfriend Arieh Igor Alan Flickr



アラン イゴール スパクロ攻略まとめwiki スーパーロボット大戦x W クロスオメガ



Alan Igor Voice Super Robot Wars Z2 Destruction Chapter Video Game Behind The Voice Actors



Igor Album Wikipedia



スパロボcc 無課金プレイ日記 雑記帳 Ssブログ



Here Are The Full Credits For Tyler The Creator S New Album Igor Kanye Solange Pharrell More Pitchfork



Alan Igor Voice Super Robot Wars Alpha Gaiden Video Game Behind The Voice Actors



Alan Igor Voice Super Robot Wars Alpha 3 Video Game Behind The Voice Actors



アラン イゴール



Igor Stravinsky Arnold Schoenberg Alan Hovhaness Symphonies Pour Instruments A Vent Theme Et Variation Symphonie No 4 Vinyl Discogs



超獣機神ダンクーガ 黒騎士アラン イゴール 昭和の話がしたいんだ



第53話a クロスファイト 3311 タワシェンのゲーム日記



レビュー スーパーミニプラ 超獣機神ダンクーガ ブラックウイング



やってやるぜ 超獣機神ダンクーガをふりかえってみよう Middle Edge ミドルエッジ



ヤフオク 超獣機神ダンクーガ ブラックウィング ロボットヒーロー コミック アニメ の落札相場 落札価格



アクル در توییتر 今日のピックアップ誕生日キャラクター アラン イゴール 超獣機神ダンクーガ Cv 田中秀幸 イゴール長官の息子で 金髪の美青年 ブラックウィングを駆り戦う 黒騎士 の別名を持つ 誕生日おめでとうございます アラン イゴール生誕祭



超合金魂 ブラックウイング レビュー ごきげんようホビーです



レビュー スーパーミニプラ 超獣機神ダンクーガ ブラックウイング



第50話 ヴァリアブルフォーメーション 3292 タワシェンのゲーム日記



やってやるぜ 超獣機神ダンクーガをふりかえってみよう Middle Edge ミドルエッジ



ミレバ ワカル 予約受付中 Metamor Force 超獣機神ダンクーガ



Igor Alan Home Facebook



花響 はなゆら ギャラリー 塗り絵



Supreme Mecha Soul Of Chogokin Black Wing Facebook



Nekozila Remix Alan Walker Feat By Igor Koli Cz



中古 スーパーロボット大戦 スクランブルギャザー 18枚セット 1 の落札情報詳細 ヤフオク落札価格情報 オークフリー スマートフォン版



Hostile Waters Japanese Edition Peter Huchthausen R Alan White Igor Kurdin Satoshi Makoto Miyake Amazon Com Books



超獣機神 アニゲあき



Alan Igor Summary Character Animeshon



11年07月の記事 To Live Is To Die



アラン イゴール スパクロ攻略まとめwiki スーパーロボット大戦x W クロスオメガ



アクル در توییتر 今日のピックアップ誕生日キャラクター アラン イゴール 超獣機神ダンクーガ Cv 田中秀幸 イゴール長官の息子で 金髪の美青年 ブラックウィングを駆り戦う 黒騎士 の別名を持つ 誕生日おめでとうございます アラン イゴール生誕祭



Alan Wake Igor Lopes



スーパーロボット大戦64特設



ダンクーガのtwitterイラスト検索結果



ダンクーガ再放送29話と30話 冒険に出かけよう In Vana Diel



超獣機神ダンクーガ 写真集 バーニング ラブ 1986年7月15日徳間書店 断空玩具



レビュー スーパーミニプラ 超獣機神ダンクーガ ブラックウイング



はじめての スーパーロボット大戦 モバイル 最終回 スーパーロボット大戦モバイル バンダイナムコゲームス公式サイト



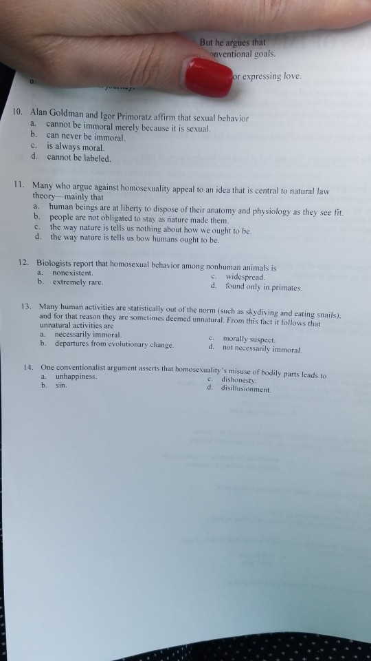
Solved But He Argues That Onventional Goals Or Expressin Chegg Com



ムゲ ゾルバドス むげぞるばどす とは ピクシブ百科事典



日站 万代5月 食玩smp 超兽机神 断空我 黑翼 实物测评 78动漫模型玩具网 模玩 变形金刚玩具 高达模型 圣斗士圣衣神话 动漫周边



Hostile Waters By Peter Huchthuasen Igor Kurdin And R Alan White 1998 Mass Market For Sale Online Ebay



超獣機神ダンクーガ 黒騎士アラン イゴール 昭和の話がしたいんだ



バンダイナムコ Psp 第2次スーパーロボット大戦z 破界篇 ロボットたちの夢の共演 最新スクリーンショット公開 Game Watch



レビュー スーパーミニプラ 超獣機神ダンクーガ ブラックウイング



Eudaq 2 0 Ulf Behrens Alan Campbell Francesco Crescioli David Cussans Hendrik Jansen Moritz Kiehn Hanno Perrey Richard Peschke Igor Rubinskiy Ppt Download



Metamor Force 超獣機神ダンクーガ ブラックウイング デコマスレビュー 千値練スタッフブログ



アラン イゴール



Hostile Waters Peter A Huchthausen Igor Kurdin R Alan White Amazon Com Books



レビュー スーパーミニプラ 超獣機神ダンクーガ ブラックウイング



Best Hit Series 超獣機神ダンクーガ 1985年9月25日秋田書店 断空玩具



Oor Wee Podcast Ep2 Ode Tae Igor Stooshie Bess And The Squirrel The Gingerbreid Man Billy Baxter Oor Wee Podcast Podcasts On Audible Audible Com



後編 Metamor Force Bari Ation ファイナルダンクーガ 製品レビュー 千値練スタッフブログ



Igor De La Villette Haelo Design



愛よファラウェイ あいよふぁらうぇい とは ピクシブ百科事典



イゴールのtwitterイラスト検索結果



ヤフオク スパロボスクランブルギャザー の落札相場 落札価格



Petrushka Iii Russian Dance By New York Philharmonic Alan Gilbert Igor Stravinsky On Amazon Music Amazon Com



Igor Alan Home Facebook



イラスト 敷島麗美 アラン イゴール ゴッドブレスダンクーガ 作品詳細 Illustdays シンプルイラストポートフォリオ



バンダイナムコ Psp 第2次スーパーロボット大戦z 破界篇 ロボットたちの夢の共演 最新スクリーンショット公開 Game Watch



Igor Kufayev Meet The Team



Twitter पर イッチー レイヤー休止中 田中秀幸さん誕生日おめでとうございます 田中秀幸誕生祭17 スラムダンク 聖闘士星矢 伝説巨神イデオン 戦国魔神ゴーショーグン 宇宙戦士バルディオス スーパーロボット大戦 超獣機神ダンクーガ 魔法騎士レイアース



ミレバ ワカル 予約受付中 Metamor Force 超獣機神ダンクーガ



第三避難所 Ps版スーパーロボット大戦f完結編 味方パイロットデータ 超獣機神ダンクーガ



Alan Walker Alone Igor Presnyakov Fingerstyle Guitar Youtube



High Dynamic Range Video By Alan Chalmers Patrizio Campisi Peter Shirley Igor Garcia Olaizola Hardcover Target



アラン イゴール



日站 万代5月 食玩smp 超兽机神 断空我 黑翼 实物测评 78动漫模型玩具网 模玩 变形金刚玩具 高达模型 圣斗士圣衣神话 动漫周边



まんだらけ 秋葉原店 ギガブレイン ファイナルダンクーガ まんだらけトピックス



Mixed Up Myths By Alan Dapre



スーパーミニプラ ブラックウイング レビュー



ミレバ ワカル 予約受付中 Metamor Force 超獣機神ダンクーガ


コメント
コメントを投稿